Ha ocurrido un error mientras se procesaba la operacón.
La Calculadora Algebraica es una herramienta excepcional para abordar una amplia gama de desafíos matemáticos. Esta completa Calculadora de Álgebra te permite resolver diversas operaciones matemáticas, entre las más destacadas se encuentran las operaciones con polinomios, la resolución de ecuaciones y desigualdades, la resolución de sistemas de ecuaciones, entre otras. Con esta herramienta, tendrás a tu disposición una herramienta integral para abordar distintas operaciones algebraicas de manera rápida y precisa.
Podrás realizar todo tipo de operaciones con polinomios, como simplificar y factorizar polinomios, sumar, restar, multiplicar y dividir polinomios. Además podrás verificar si son válidas posibles soluciones de ecuaciones. Y todo ello mostrando el procedimiento paso a paso.
Esta completa herramienta algebraica se convertirá en tu aliada perfecta para perfeccionar tus habilidades en álgebra.
Si deseas aprender cómo utilizar la Calculadora Algebraica, te invitamos a consultar el tutorial que se encuentra justo debajo de la misma.
También te podría interesar: Calculadora de división de polinomios paso a paso.
Si esta Calculadora de Álgebra online te ha sido de utilidad te invitamos a compartirla con tus compañeros a través de las redes sociales, para que también ellos puedan beneficiarse de ella.
Gracias a una interfaz intuitiva y amigable, nuestra Calculadora de Algebraica es sumamente sencilla de utilizar, para usarla simplemente debes ejecutar dos sencillos pasos:
Introduce la expresión matemática en el campo de entrada, lo cual podrás hacerlo utilizando el teclado de tu dispositivo o empleando el teclado te la propia calculadora (si utilizas la calculadora desde un teléfono móvil, solo podrás escribir mediante el teclado virtual de la calculadora). Si deseas usar funciones trigonométricas deberás presionar el botón "Funciones Trig" que se encuentra encima del teclado y con ello se habilitarán los botones con dichas funciones.
Si has ingresado una expresión con varias variables y deseas resolver la expresión para alguna en particular deberás seleccionar la variable que deseas despejar, usando el selector de variables que se encuentra encima del teclado.
Una vez has terminado de introducir la expresión algebraica o la ecuación correspondiente, solo debes presionar el botón azul "Calcular" para obtener la solución paso a paso que se mostrará de forma automática en un nuevo recuadro.
La solución que ofrece la Calculadora de Álgebra muestra de forma detallada todo el procedimiento que se debe llevar a cabo para llegar hasta la solución del problema, lo cual resulta de gran ayuda para aprender álgebra.Lo anteriormente explicado se puede emplear para realizar las siguientes operaciones:
Realizar operaciones con polinomios
Resolución de ecuaciones de lineales (ecuaciones de primer grado)
Encontrar las raíces de ecuaciones de segundo grado
Solucionar ecuaciones de tercer grado y de cuarto grado
Factorizar y simplificar expresiones algebraicas y/o polinomios
Resolver sistemas de ecuaciones ecuaciones
Realizar operaciones con números complejos
Resolver inecuaciones
Evaluar ecuaciones
Despejar fórmulas y ecuaciones
Calcular ecuaciones con fracciones
Calcular ecuaciones con radicales
Resolver ecuaciones trigonométricas
Simplificar expresiones trigonométricas
Resolver inecuaciones y ecuaciones con valor absoluto
Solucionar ejercicios de permutaciones
Realizar operaciones con fracciones
Resolver ecuaciones logarítmicas
Entre otras...
¿A qué se le llama expresión algebraica?
Las expresiones algebraicas son enunciados matemáticos que se forman al combinar variables, constantes y operadores matemáticos (como suma, resta, multiplicación, y división) para representar una operación matemática determinada.
Tipos de expresiones algebraicas
Tipo de expresión
Definición
Ejemplos
Monomio
Una expresión con un solo término donde los exponentes de todas las variables son números enteros no negativos
7a
Binomio
Una expresión con dos monomios
x2 + 4y
Trinomio
Una expresión con tres monomios
2x - 3y + 5z
Polinomio
Una expresión con uno o más monomios
4x3 - x2 + 6x - 2
Multinomio
Una expresión con uno o más términos (los exponentes de las variables pueden ser positivos o negativos)
5x-2 + 3y - 7
Cómo resolver ecuaciones con fracciones con la Calculadora Alegebraica
Para ingresar fracciones en nuestra calculadora, solo debes de utilizar la tecla de slash (/) del teclado de tu dispositivo o la de la propia calculadora.
Ejemplo 01:
1x+1 = x
para calular la anterior ecuacion con fracciones debemos de ingresar la expresión de la siguiente forma: 1/(x+1)=x.
Ejemplo 02:
12x + 35x2 = −3
para calular la anterior ecuacion con fracciones debemos de ingresar la expresión de la siguiente forma: 1/2x+3/5x^2=-3
Cómo evaluar polinomios con la Calculadora de Álgebra
Esta calculadora puede evaluar polinomios que contienen una o más variables.Para evaluar un polinomio con una o más variables, sigue los siguientes pasos:
Ingresa el polinomio que deseas evaluar y luego presiona el botón "Calcular". A modo de ejemplo utilizaremos el polinomio 5xm-8m+5n^2.
En la ventana que contiene la solución has click en el ícono de menú ubicado en la parte superior izquierda y luego presiona la opción evaluar.
Como se puede ver en la siguiente imagen, aparecerá una nueva ventana donde podrás asignar un valor numérico a cada una de las variables del polinomio.
Cómo simplificar expresiones algebraicas con la Calculadora Algebraica
Una de las operaciones más comunes y necesarias en el álgebra es la simplificación de expresiones matemáticas. La calculadora de álgebra te permitirá simplificar fracciones algebraicas y todo tipo de polinomios, mostrando siempre todo el procedimiento necesario. Para ello solo debes ingresar en la calculadora la expresión matemática que deseas simplificar y automáticamente la calculadora simplificará la expresión.
A continuación te presentamos un ejemplo de como la Calculadora Algebráica puede simplificar fracciones algebraicas.
Ejemplo 01: Simplificar la siguiente expresión:
2x3+4x2+2x6x3−6x
Cómo resolver sistemas de ecuaciones
Como te indicamos en la introducción de esta página, la Calculadora Algebraica es también puede resolver sistemas de ecuaciones de hasta dos incógnitas. Para resolver un sistema de ecuaciones solo debes de ingresar las ecuaciones separándolas con una coma. A continuación te mostramos un ejemplo de resolución de un sistema de ecuaciones:
Pero si deseas una calculadora capaz de resolver tanto sistemas lineales como no lineales utilizando siete métodos de resolución distintos, te recomendamos usar la calculadora ubicada en el siguiente enlace: Calculadora de sistemas de ecuaciones lineales y no lineales
Suma y resta de polinomios
Ejemplo : (5m^2n^2+5mn+9)+(-2m^2n^2+5)
Multiplicación de polinomios
Ejemplo : (3xy^2-11x+y+9)·(x^2+y^2)
División de polinomios
Ejemplo : (3x^2-11x+9)/(x+1)
En el caso de la división una vez hemos ingresado la operación y presionado el botón "Calcular", deberemos seleccionar la opción de "Dividir" en la ventana de resultados, como se muestra a continuación:
Cómo factorizar con la Calculadora de Álgebra
Para factorizar una expresión algebraica la ingresamos en la Calculadora Algebraica y en la ventana de resultados elegimos la opción "Factorizar", como se muestra a continuación:
Cómo resolver inecuaciones
Nuestra Calculadora de Álgebra también puede resolver inecuaciones, para lo cual solo debemos ingresar la desigualdad en la calculadora y presionar el botón "Calcular".
A continuación te presentamos un ejemplo para ilustrar cómo opera la calculadora:
Ejemplo 01:
Resolver la inecuación: 5x2+25x−3 < = x−8
Realizar operaciones con fracciones
Con nuestra Calculadora Algebraica también podrás resolver topo tipo de operaciones con fracciones. Para ello solo debes introducir las fracciones tanto propias como impropias utilizando el símbolo de "/". Y en el caso de las fracciones mixtas la parte entera debe estar separada con un espacio de la parte fraccionaria, por ejemplo "2 1/2".Ejemplo:
Resolución de ecuaciones con radicales
Esta herramienta online también permite resolver ecuaciones con radicales. A continuación te presentamos varios ejemplos de ecuaciones con radicales resueltas con esta calculadora:
Símbolos, operadores y funciones de la Calculadora Algebraica
A continuación te presentamos el conjunto de símbolos, operadores y funciones que nuestra calculadora te ofrece para representar un sin número de expresiones algebraicas. Todo ello puede ser empleado desde el teclado virtual o escribiendo cada función u operador usando el teclado de tu dispositivo.
Tecla
Comando
Descripción
+,-,*,/
Operadores aritméticos
()
Paréntesis
sqrt()
Raíz cuadrada de un valor
^
Permite elevar el valor a su izquierda a un determinado exponente
log()
Calcula el logaritmo de base 10 de una expresión
ln()
Calcula el logaritmo natural de una expresión
> < >= <=
Operadores de comparación que permiten trabajar con inecuaciones o desigualdades
||
Permite calcular o establecer el valor absoluto de una expresión o un número
%
Permite calcular porcentajes
pi, e, i
Contantes pi (3.1416...), base neperiana e, contante imaginaria i
Tips para saber cómo resolver ecuaciones de forma correcta
Una vez te hemos presentado todas las indicaciones necesarias para poder sacar provecho a la calculadora de algebraica online, en este apartado te explicaremos algunos tips para que puedas resolver ecuaciones por tu propia cuenta y así poder estar preparad@ para afrontar un examen de álgebra.
Cómo resolver ecuaciones de primer grado o ecuaciones lineales
Antes de explicar los pasos para resolver ecuaciones de primer grado, debemos saber identificarlas. Y para ello debemos tener presente que una ecuación lineal o de primer grado es aquella en la que el grado más alto de sus variables es igual a la unidad. Por lo tanto una ecuación lineal es toda aquella ecuación que este escrita en la siguiente forma:
a x + b = 0
donde a y b son números reales y x es la variable. Sin embargo, debes tener presente que la forma, no es más que la forma estándar de una ecuación lineal, por lo que puede variar un poco la distribución de los términos y la variable puede ser distinta a x. También debemos conocer las siguientes propiedades de las ecuaciones de primer grado:
Si a=b, entonces a+c = b+c para cualquier valor de c
Si a=b, entonces a-c = b-c para cualquier valor de c
Si a=b, entonces ac = bc para cualquier valor de c
Si a=b, entonces a/c = b/c para cualquier valor de c
Pasos para resolver ecuaciones lineales:
Si la ecuación posee fracciones, elimínalas mediante el uso del mínimo común denominador (MCD). Conseguiremos esto multiplicando ambos lados de la ecuación por el MCD.En el caso de que existan variables en los denominadores de las fracciones, deberás detectar aquellos valores de la variable que darán división por cero, ya que debemos evitar estos valores en la solución, para no causar una indeterminación.
Mediante el uso de técnica de factorización y combinando términos semejantes, simplifica ambos lados de la ecuación.
Con los pasos anteriores consigue que la ecuación se parezca lo más posible a la forma estándar, es decir, ubica todos los términos con variables de un lado de la ecuación (combinando términos semejantes) y todas las constantes del otro lado.
En caso de que el coeficiente de la variable no sea uno, deberás usar según corresponda una de las propiedades expuestas anteriormente, para conseguir que el coeficiente sea uno. Si el coeficiente es un número entero, deberás dividir ambos lados de la ecuación por el coeficiente o multiplicar ambos lados de la ecuación por el recíproco del coeficiente si es una fracción.
Verifica la solución obtenida. Para ello solo debes sustituir la variable por el valor obtenido en la ecuación original. Si se cumple la igualdad entonces la solución es correcta.
Pronto agregaremos la explicación del proceso de resolución de ecuaciones de segundo grado.
Cómo resolver ecuaciones de segundo grado o ecuaciones cuadráticas
Una ecuación cuadrática o ecuación de segundo grado es toda aquella ecuación polinómica en la que el mayor exponente de una o más de las variables presentes es igual a 2. La forma estándar de este tipo de ecuaciones es ax² + bx + c= 0 con a, b y c como constantes, o coeficientes numéricos, y x es una variable.Las ecuaciones de segundo grado pueden resolverse por factorización, usando la fórmula cuadrática o mediante el método de completar trinomio cuadrado perfecto. A continuación pasaremos a explicar como resolver ecuaciones de segundo grado con dichos tres métodos:Pasos para resolver ecuaciones cuadráticas por factorización
Reorganiza la ecuación para que todos los términos de esta queden en un lado del singo de igual dejando el 0 al otro lado
Factoriza la expresión algebraica
Iguala cada factor a 0 y resuelve las ecuaciones resultantes
Verifica la solución insertando la respuesta en la ecuación original
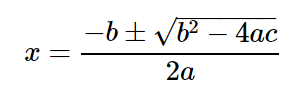
Fórmula cuadrática
Pero no todas las ecuaciones de segundo grado pueden resolverse factorizando. Es por ello que para dichos casos podemos recurrir al método de la fórmula cuadrática. dicha fórmula es la siguiente:
Los coeficientes a, b y c se toman de la ecuación escrita en su forma estándar.Completar el cuadradoUn tercer método para resolver ecuaciones cuadráticas es el de completar el trinomio cuadrado perfecto. Los pasos para aplicar este método son los siguientes:
Reescriba la ecuación en su forma estándar
Asegúrate de que a = 1 (si a ≠ 1, multiplique la ecuación por 1/a antes de continuar)
Suma (b/2)2 a ambos lados de la ecuación para formar un cuadrado perfecto en el lado izquierdo de la ecuación
Encuentra la raíz cuadrada de ambos lados de la ecuación
Resuelve la ecuación resultante
Importancia de saber resolver ecuaciones
La resolución de ecuaciones es un proceso que nos permite encontrar el valor o valores de las cantidades desconocidas en una ecuación. Saber resolver ecuaciones matemáticas es importante por varias razones:
En primer lugar, nos permite encontrar soluciones a problemas prácticos que involucran cantidades desconocidas. Por ejemplo, si queremos saber cuánto dinero tenemos que ahorrar cada mes para alcanzar un objetivo de ahorro en un plazo determinado, podemos utilizar ecuaciones para encontrar la cantidad de dinero que debemos ahorrar cada mes.
En segundo lugar, la resolución de ecuaciones es una habilidad fundamental en muchas áreas de la ciencia y la tecnología, como la física, la química y la ingeniería. Muchos problemas científicos y tecnológicos involucran cantidades desconocidas que deben ser determinadas mediante la resolución de ecuaciones.
Por último, resolver ecuaciones es una habilidad matemática esencial que nos ayuda a desarrollar nuestra capacidad de razonamiento y lógica. La resolución de ecuaciones requiere que prestemos atención a los detalles y sigamos un proceso lógico para encontrar la solución. Esto nos ayuda a mejorar nuestra capacidad de pensamiento crítico y a tomar decisiones basadas en argumentos sólidos y lógicos.
En conclusión, la resolución de ecuaciones es una habilidad esencial en muchas áreas de la vida y es fundamental para resolver problemas prácticos, entender conceptos científicos y tecnológicos y desarrollar nuestra capacidad de razonamiento y lógica.
La Calculadora Algebraica online: una herramienta valiosa para estudiantes y profesionales
La Calculadora de Algebraica online es una herramienta valiosa para cualquier persona que necesite resolver ecuaciones y expresiones algebraicas. Ya sea que sea un estudiante que busca chequear su tarea, un profesional que trabaja en un problema complejo o cualquier persona que necesite trabajar con expresiones algebraicas, esta herramienta puede ayudarlo a encontrar las respuestas que necesita de manera rápida y fácil.Una de las principales ventajas de usar la Calculadora de álgebra en línea es que ofrece resultados explicados paso a paso. Esto significa que, además de mostrar el resultado final de una ecuación, también proporciona información detallada sobre cómo se llegó a ese resultado. Esto es especialmente útil para los estudiantes que están tratando de comprender cómo resolver un problema algebraico específico. Al ver cada paso en el proceso, pueden ver cómo se llega al resultado final y, por lo tanto, aprender de manera más efectiva.Con resultados explicados paso a paso y una interfaz fácil de usar, la Calculadora de álgebra online puede ayudar a los usuarios a encontrar las respuestas que necesitan de manera rápida y eficiente.Otra ventaja de usar la Calculadora Algebraica es que está disponible en cualquier momento y lugar. Ya sea que esté en casa, en la escuela o en el trabajo, siempre puede acceder a nuestra Calculadora en línea con solo una conexión a internet. Esto significa que no tiene que preocuparse por llevar una calculadora física contigo a todas partes, o incluso tener que comprar una calculadora costosa.Sin embargo, es importante tener en cuenta que la Calculadora de álgebra no sustituye el proceso del aprendizaje tradicional de las matemáticas. Es importante que los estudiantes aprendan a resolver problemas matemáticos por sí mismos, en lugar de simplemente depender de una herramienta en línea. Sin embargo, la calculadora algebraica puede ser una herramienta valiosa para ayudar a los estudiantes a comprender mejor los problemas y aumentar su confianza en sus habilidades matemáticas.